Усиление деревянного перекрытия – способы укрепить потолочные и балки второго этажа
Основным элементом чердачных и межэтажных перекрытий во многих частных домах является деревянная балка. Срок службы перекрытий из дерева ограничен ввиду свойств древесины, особенно, если она была плохо обработана или подвергалась нагрузке и воздействию влаги.
В следствие таких факторов балка перестает справляться с возложенной на нее функцией (возможно провисание, прогиб, искривление) и потребуется усиление деревянных балок перекрытия.
Помимо повреждений и утраты несущей способности балок пола и потолка (лаг, прогонов), укрепление может быть продиктовано увеличением нагрузки на перекрытие.
Когда нужно усиливать деревянные балки перекрытия
- плохое состояние балочной конструкции. Является следствием повреждение древесины. Повышенная влажность, перепады температуры, деятельность различных вредителей (жуков короедов), растрескивание – все это приводит к деформированию балки перекрытия;
- снижение несущей способности. Под собственным весом, постоянной и переменной нагрузкой балки перекрытия могут прогибаться. Согласно нормативам, если прогиб находится в пределах 1:300, то беспокоится не о чем. Например, если балка длиной 2500 мм. прогнулась на 10 мм. это соответствует нормальному значению прогиба. Если показатель прогиба больше – ее следует усилить;
- необходимость увеличения несущей способности балки. Связанная, например, с перестройкой чердака под мансарду или жилое помещение. Такая перестройка приведет к увеличению постоянных и переменных нагрузок на перекрытия второго этажа, что автоматически требует изменения сечения установленных деревянных балок.
В пределах статьи будут приведены несколько распространенных способов усиления перекрытия (ремонт, реконструкция). Но, точно ответить на вопрос, как усилить деревянные балки перекрытия может только профессионал и только после анализа состояния конструкции. Ведь в каждом случае решение будет индивидуально.
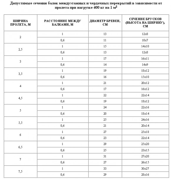
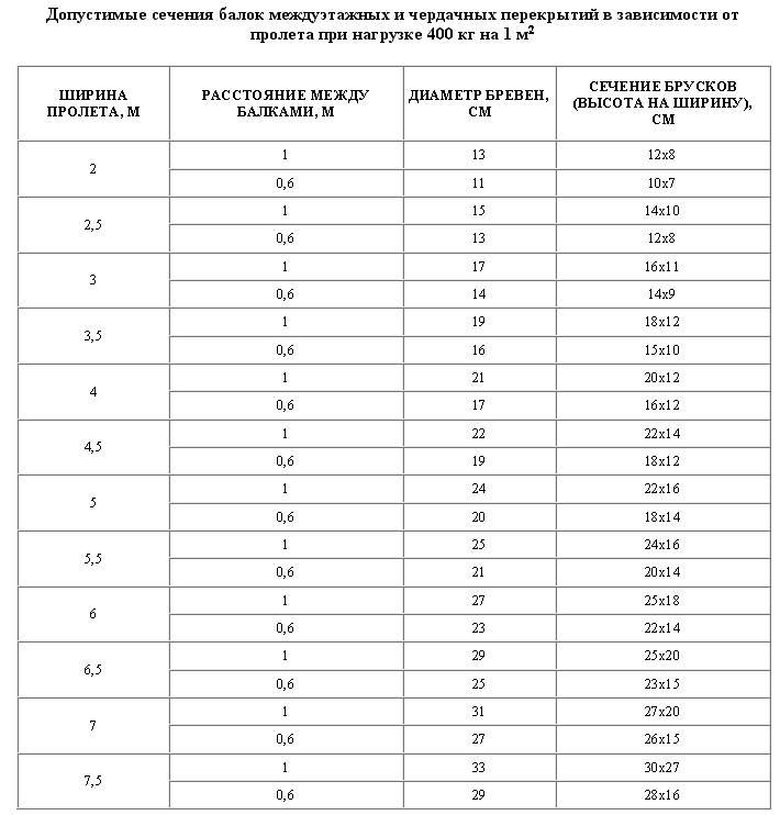
Воспользовавшись таблицей можно получить представление о том, какое сечение должно быть у балки при определенной нагрузке.
Материал подготовлен для сайта stolfactory-era.ru
Способы усиления деревянных балок перекрытия
Основные типы и методы усиления деревянных перекрытий приведены в порядке увеличения трудозатрат и длительности на выполнение работ.
Тип усиления без изменения условий работы
Усиление деревянными накладками
Способ применяется в том случае, когда дерево повреждено. Накладки устанавливаются с двух сторон от балки из бруса (по бокам или сверху и снизу), максимально плотно к ней и скрепляются (затягиваются) насквозь болтом. При этом важно обработать поврежденный участок и накладки противогрибковым раствором. В критическом случае, если участок поврежден сильно – его лучше удалить. Чтобы усилить балку нужно крепить накладку по всей ее длине.

Усиление пролетов металлическими накладками (пластинами) или прутковыми протезами
Стальные пластины используются вместо деревянных, описанных выше. Металл также нужно обработать антикоррозионным раствором. Схема устройства показана на рисунке.
Усиление перекрытия углеволокном (углепластиком)
Современная технология усиления (армирование углеродным волокном). Углеволокно (ленты, листы, пластины, нити, ткань) наклеивается в несколько слоев, пока не будут достигнуты требуемые показатели жесткости балки. Удобство работы и легкость материала приводят к тому, что углепластик приобретает популярность как эффективное средство для восстановления балок и строительных конструкций.
Ниже приведена схема армирования (усиления) балок перекрытия углеволокном.
Усиление на торцах деревянными или металлическими протезами
Технология позволяет усилить балку в местах стыка с несущей стеной. Это именно то место, где, за счет перепадов температур повреждение древесины происходит быстрее.


На схеме ниже показана технология усиление протезами из швеллера, прокатного профиля
Монтаж пруткового протеза
Прутковый протез системы Дайдбекова выполняется из двух спаренных ферм, которые изготавливаются из обрезков арматурной стали сечением (диаметром) 10-25 мм. Длина протеза должна быть на 10% больше двойной длины сгнившего конца балки, но не более 1,2 м.
- Установить временные опоры под перекрытие на расстоянии 1-1,5 м от несущей стены, состоящие из стоек и прогона.
- Разобрать перекрытие снизу на ширину 75 см и сверху – 1,5 м от стены.
- Отрезать поврежденный участок балки (0,5м)
- Завести заготовку протеза вертикально в междуэтажное перекрытие и повернуть в горизонтальное положение, сначала надвигая на балку, затем, в обратную сторону задвигая в нишу стены.
- Сместить и прибить гвоздями сдвижную планку.
Усиление балок шпренгельными затяжками

Тип усиления с изменением условий работы
Усиление деревянных перекрытий такими способами предусматривает существенную перестройку несущей конструкции балочных пролетов.
Изменение условий работы конструкций

Изменение схемы работы

Нестандартные решения
Если нет возможности усилить деревянные балки перекрытия, можно попытаться их разгрузить, т.е., распределить нагрузку с существующих балок на дополнительно установленные элементы.
Усиление перекрытий путем установки опор под несущие балки
Опоры, подпирающие балки снизу, являются хорошим способом перераспределить нагрузку с балки на опору.
Усиление перекрытий путем установки дополнительных балок
Если существующие лаги находятся в целости и сохранности, увеличить их несущую способность можно посредством увеличения их количества. Установка дополнительных деревянных балок позволит увеличить нагрузку на конструкцию. Устанавливая новые лаги нужно обязательно защитить их торцы рубероидом, чтобы избежать повреждения.
Надеемся, что из приведенных способов усиления деревянных балок перекрытия вы подберете именно тот, который решит вашу проблему наилучшим образом и с минимальными затратами.
Метки: Перекрытие Балки
68 037
1
-
Строительство дома из арболита (арболитовых блоков) – технология возведения, от фундамента до крыши
Такая ситуация, мне начали строить дом из арболита, но наделали кучу ошибок по кладке (ниже фото). Сейчас хочу взыскать с этих криворуких строителей компенсацию. По самому материалу претензий нет, -
Утепление входной металлической двери – правильная теплоизоляция своими руками
Бюджетный способ утеплить китайскую дверь от дяди Вани. В отличие от обычной пустотелой двери, в китайской хотя бы бумага внутри. Конечно, эти соты из прессованного картона мало помогут в мороз, но -
Входные двери с терморазрывом – металлические термодвери для частного дома
Установил термодверь в декабре 2015 года. До этого стояла стальная дверь, утепленная внутри полотна и по периметру. Температура в коридоре была ниже, нежели в комнатах (коридор отапливаемый). После -
Монтаж водосточной системы своими руками – установка водостоков для крыши
Пытались помочь в рамках своей компетенции.Раз уж комплектующие Деке, то разумно будет согласовать эти вопросы с ними.Да, в скором будущем на сайте будет отдельный материал по расчетам водосточной -
Монтаж водосточной системы своими руками – установка водостоков для крыши
У Docke эти странные требования заложены в pdf инструкцию по монтажу водосточной системы. Формулу я вывел сам, это не сложно, задачка в пределах школьного курса геометрии. Дело в том, что я купил их -
Монтаж водосточной системы своими руками – установка водостоков для крыши
Не уверенны, что сможем дать однозначный ответ насчет градусов. Откуда вообще эта формула, на сайте Деке не нашли. Спросили у ребят, которые профильно занимаются монтажом водостоков. Сказали, что -
Монтаж водосточной системы своими руками – установка водостоков для крыши
Интересно, что те же Дёке, несмотря на свои рекомендации, дают фотографии своих монтажных работ по крутым скатам, которые явно им противоречат (фото). Там скаты смотрят в жёлоб, а не поверх него. Моя -
Монтаж водосточной системы своими руками – установка водостоков для крыши
Спасибо за развёрнутый ответ, но он не во всём разъясняет проблему, поэтому уточню вопрос. На прилагаемых рисунках, взятых из рунета, показано то самое поперечное сечение, о котором я говорю, с -
Установка забора из сетки рабицы своими руками – пошаговая инструкция
В описанном вами случае, нужно использовать квадратный профиль с сечением не менее 100х100 мм. Ввиду того, что планируется посадка вьющихся растений желательно устанавливать одинаковый профиль по -
Как сделать калитку из сетки рабицы для дачи своими руками
Выбирается индивидуально, но согласно логике, распашная калитка и ворота из рабицы (как и любые другие) должны открываться наружу. Объясняется несколькими причинами. Первая – при экстренной ситуации,


































